Command Reference
:
Function Reference
:
Function Reference: B
@binom
Element Functions
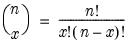
Binomial coefficient.
Syntax:
@binom
(
n, x)
a
: number
b
number
Return: integer
Compute the value of the beta integral for elements of
a
and
b
:
for integers
and
. If
n
or
x
are not integers, the integer floors
and
will be used.
Examples
= @binom(4,2)
returns 6.
Cross-references
See also
@binomlog
.