Standardize each column using the sample (d.f. corrected) standard deviation.
Syntax: @colstdize(m)
m: matrix, vector
Return: matrix, vector
Returns the matrix containing the results from standardizing each column of m.
For each element of the output:
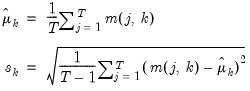
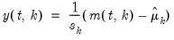
for

the mean and

the sample (d.f. corrected) standard deviation of column

where
 | (18.2) |
where

is the number of non-missing values in the column. If there are missing values in a column, they are ignored and the number of rows is adjusted.
Examples
matrix m1 = @mnrnd(50, 4)
matrix m1s = @colstdize(m1)
standardizes each column of M1 and places the results in M1D.
Cross-references