Cumulative quantiles of a series.
Increasing samples calculation of the quantile value where approximately 100*q percent of the data is less than or equal to the value,
Syntax: @cumbquantile(x, q, [s])
x: series
q: number, series
s: (optional) sample string or object
Return: series
• The quantile value
q must satisfy

.
• The cumulative quantiles are computed using the Rankit-Cleveland definition of the empirical distribution function:

.
To compute the cumulative backward quantile for observation

find

, the smallest rank such that:
where the order statistics

represent data for the

observations (

), ordered from low to high, and

is the last period. For purposes of computing

, tied ranks are assumed to take the last tied value.
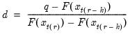
Then the quantile is computed as:
where the interpolating constant is
for

the smallest integer where

. In the leading case where there are no tied

values,

.
This function is panel aware.
Examples
show @cumbquantile(x, 0.1)
generates a linked series of the backward cumulative 10th percentile of the series x.
Cross-references
For the forward variant of this function, see
@cumquantile.