Command Reference : Function Reference : Function Reference: C
  
 
@cummean
Cumulative means of a series.
Increasing samples calculation of the mean of the values in x.
Syntax: @cummean(x[, s])
x: series
s: (optional) sample string or object
Return: series
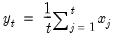
Compute the cumulative mean of the values in x from the start of the workfile or sample s, up to the current observation:
This function is panel aware.
Examples
series x = @cummean(@nrnd)
generates a random process x that converges in probability to 0.
Cross-references
See also @cumsum, @cumsumsq, and @cumprod.
For the backward variant of this function, see @cumbmean.