Cumulative median of a series.
Increasing samples calculation of the median.
Syntax: @cummedian(x, [s])
x: series
s: (optional) sample string or object
Return: series
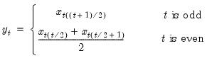
The median for each observation

may be written as
where the order statistics

represent data from the beginning of the workfile or sample
s, up to the current observation (

), ordered from low to high.
This function is panel aware.
Examples
series x = @cummedian(@rnd)
generates a random process x that converges in probability to 0.5.
Cross-references
For the backward variant of this function, see
@cumbmedian.