Cumulative variances (sample – d.f. adjusted) of a series.
Increasing samples calculation of the sample (d.f. adjusted) Pearson product moment variance.
Syntax: @cumvars(x, [s])
x: series
s: (optional) sample string or object
Return: series
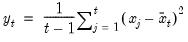
The sample variance for each observation

is calculated as
where

is the mean of

over the first

observations.
This function is panel aware.
Examples
series x = @nrnd
group g @cumvar(x) @cumvars(x) @cumvarp(x)
g.line
plots @cumvar(x), @cumvars(x), and @cumvarp(x) together. Note that @cumvar(x) and @cumvarp(x) are equivalent. All three series converge in probability to 1.
Cross-references
For the backward variant of this function, see
@cumbvars.