Weibull cumulative distribution.
Syntax: @cweib(x, m, a[, u])
x: number,

m: number,

a: number,

u: (optional) number
Return: number
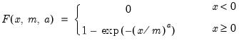
Computes the cumulative distribution function
 | (18.4) |
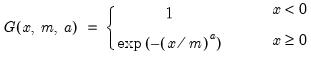
If the optional argument u is non-zero, return the upper-tail value:
 | (18.5) |
Examples
= @cweib(@log(2), 1, 1)
returns 0.5.
Cross-references
See also
@dweib,
@qweib, and
@rweib.