Difference of the cumulative process of zero (at threshold) changes.
Compute the difference of the partial sum process of zero (at the threshold y) changes in the series x beginning in the specified date.
Syntax: @dcumdz(x, d[, y, s])
x: series
d: string
y: (optional) number
s: (optional) sample string or object
Return: series
Consider the partial sum decomposition of a variable

given a initial value

as

where

,

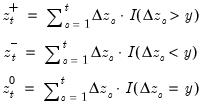
, and

are the partial sum processes of the differences for positive, negative, and zero
changes in

relative to the threshold
y:
The function returns the zero accumulation

for the current or specified sample.
• The date
d string specification determines

.
• Values for dates prior to d will be NAs.
• The optional

argument specifies the threshold value. By default

.
This function is panel aware.
Examples
show @dcumdz(x, 2001, 1)
produces a linked series of @dcumdz applied to x where the starting date is 2001 and the threshold value is set to 1.
Cross-references