Command Reference
:
Function Reference
:
Function Reference: D
@digamma
Element Functions
First derivative of the natural log gamma function.
Syntax:
@digamma
(
x)
x:
number
Return: number
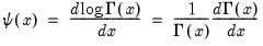
Computes the derivative of the log of the gamma function:
for
.
Examples
= @digamma(1)
returns -0.57721....
Cross-references
See also
@gammalog
,
@trigamma
, and
@psi
.