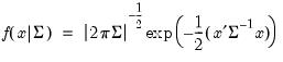
@dmvnorm |
density function for vector values of x, and sym
.
. The forms are distinguished by different suffixes that are applied to the base “@dmvnorm” command and how they change the interpretation of the S matrix argument:@dmvnorm | “” | Supply . |
@dmvnormc | “c” | Supply the Cholesky decomposition of . This form is more efficient when performing multiple draws from the same distribution (compute the Cholesky once, but sample many times). |
@dmvnormi | “i” | Supply . This form is more efficient than explicitly inverting to supply . |
@dmvnormic | “ic” | Supply the Cholesky decomposition of . This form combines the efficiencies of the Cholesky and inverse forms. |