Fractional difference of series data.
Syntax: @fracdiff(x, y[, s])
x: series
y: series
s: (optional) sample string or object
Return: series
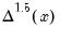
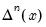
Returns
for series x for
:  | (18.6) |
This function is panel aware.
Examples
show @fracdiff(@demean(x),1.5)
applies
to the demeaned version of the series
x.
Cross-references