Median.
Computes the median of the elements of x.
Syntax: @median(x[, s])
x: series, vector, matrix
s: (optional) sample string or object when x is a series and assigning to a series
Return: number
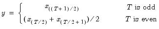
When

is odd, the median is the middle ordered-observation and when

is even, the median is the average of the two middle ordered-observations. The median may be written as
where the order statistics

represent the data ordered from low to high.
For series calculations, EViews will use the current or specified workfile sample.
Examples
Let x be a series of length 6 with observations 1, 2, 3, 4, 5, 6. Then
= @median(x)
returns 3.5.
Cross-references