Command Reference
:
Function Reference
:
Function Reference: M
@minner
Rolling (Moving) Statistics
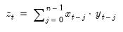
Trailing moving inner
product of two series (ignore NAs).
n
-period moving inner product of two variables for the current and previous
observations, ignoring NAs.
Syntax:
@minner
(
x, y, n)
x
: series
y:
series
n
integer, series
Return: series
For each observation
and integer
, compute the inner product of the current and previous
observations of the series,
and ignoring missing values (NAs).
If
n
is not an integer, the integer floor
will be used.
Examples
show @minner(x, y, 12)
produces a linked series of the moving inner product of the series
x
and
y
where NAs are ignored.
Cross-references
See also
@msumsq
.
For the NA-propagating variant of this function, see
@movinner
.