Empirical quantile.
Compute the quantile value where approximately 100*q percent of the data is less than or equal to the value,
Syntax: @quantile(x, q[, m, s])
x: series, vector, matrix
q: number, series, vector, matrix
m: (optional) string
s: (optional) sample string or object when x is a series and assigning to a series
Return: number
• The quantile value
q must satisfy

.
• m is an optional string controlling the method of calculating the empirical distribution function: “b” (Blom), “r” (Rankit-Cleveland), “o” (Ordinary), “t” (Tukey), “v” (van der Waerden), “g” (Gumbel). The default value is “r”.
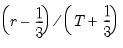
Rankit-Cleveland (default) | |
Ordinary | |
Van der Waerden | |
Blom | |
Tukey | |
Gumbel | |
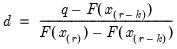
To compute the

-quantile, first find

, the smallest rank such that,
where the order statistics

represent data for the

observations ordered from low to high, and

is the assumed empirical distribution function. For purposes of computing

, tied ranks are assumed to take the last tied value.
Then the quantile is computed as
where the interpolating constant is
for

the smallest integer where

. In the leading case where there are no tied

values,

.
For series calculations, EViews will use the current or specified workfile sample.
Examples
= @quantile(x, 0.5)
returns the median of the series x.
= @quantile(x, 0.1)
returns the first decile (10th percentile) of the series x.
Cross-references