Sample variance (d.f. adjusted).
Sample (d.f. adjusted) Pearson product moment variance.
Syntax: @vars(x, [s])
x: series, vector, matrix
s: (optional) sample string or object when x is a series and assigned to a series
Return: number
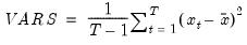
The sample variance estimate is calculated as
where

is the mean of

.
For series calculations, EViews will use the current or specified workfile sample.
Examples
If x = @rnd, then
= @vars(x)
will return a value close to 1/12 in large samples.
Cross-references
See also
@var,
@varp, and
@stdevs.