Command Reference : Operator and Function Reference : Moving Statistic Functions
  
Moving Statistic Functions
These functions perform basic rolling or moving statistics. They may be used as part of a series expression.
The moving statistic functions are in two types, those that propagate missing observations (NAs) and those that don’t. The functions that do not propagate NAs, which start with “@m”, skip observations which are NA. The functions that do propagate NAs will return NA when an NA is encountered.
For example if the series X contains {1, 3, 4, NA, 5, 3, 2} then “@movav(x,2)” will give {NA, 2, 3.5, NA, NA, 4, 2.5}, whereas “@mav(x,2)” will give {1, 2, 3.5, 4, 5, 4, 2.5}.
 
Name
Function
Description
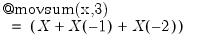
@movsum(x,n)
n-period backward moving sum
. NAs are propagated.
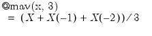
@movav(x,n)
n-period backward moving average
NAs are propagated.
@movavc(x,n)
n-period centered moving average
centered moving average of X. Note if n is even then the window length is increased by one and the two endpoints are weighted by 0.5. NAs are propagated.
@movstdev(x,n)
n-period backwards moving standard deviation
sample standard deviation (division by ) of X for the current and previous observations. NAs are propagated.
@movstdevs(x,n)
n-period backwards moving sample standard deviation
sample standard deviation (division by ) of X for the current and previous observations. Note this is the same calculation as @movstdev. NAs are propagated.
@movstdevp(x,n)
n-period backwards moving population standard deviation
population standard deviation (division by ) of X for the current and previous observations. NAs are propagated.
@movvar(x,n)
n-period backwards moving variance
population variance (division by ) of X for the for the current and previous observations. NAs are propagated.
@movvars(x,n)
n-period backwards moving sample variance
sample variance (division by ) of X for the current and previous observations. NAs are propagated.
@movvarp(x,n)
n-period backwards moving population variance
population variance (division by ).of X for the current and previous observations. Note this is the same calculation as @movvar. NAs are propagated.
@movcov(x,y,n)
n-period backwards moving covariance
population covariance (division by ) between X and Y of the current and previous observations. NAs are propagated.
@movcovs(x,y,n)
n-period backwards moving sample covariance
sample covariance (division by ) between X and Y of the current and previous observations. NAs are propagated.
@movcovp(x,y,n)
n-period backwards moving population covariance
population covariance (division by ) between X and Y of the current and previous observations. Note this is the same calculation as @movcov. NAs are propagated.
@movcor(x,y,n)
n-period backwards moving correlation
correlation between X and Y of the current and previous observations. NAs are propagated. NAs are propagated.
@movmax(x,n)
n-period backwards moving maximum
the maximum of X for the current and previous observations. NAs are propagated.
@movmin(x,n)
n-period backwards moving minimum
the minimum of X for the current and previous observations. NAs are propagated.
@movsumsq(x,n)
n-period backwards sum-of-squares
the sum-of-squares of X for the current and previous observations. NAs are propagated.
@movskew(x,n)
n-period backwards skewness
the skewness of X for the current and previous observations. NAs are propagated.
@movkurt(x,n)
n-period backwards kurtosis
the kurtosis of X for the current and previous observations. NAs are propagated.
@movobs(x,n)
n-period backwards nmber of non-NA observations
the number of non-missing observations in X for the current and previous observations. Note this function always returns the same value as @mobs.
@movnas(x,n)
n-period backwards nmber of NA observations
the number of missing observations in X for the current and previous n-1 observations. Note this function always returns the same value as @mnas.
@movinner(x,y,n)
n-period backwards inner product of X and Y
inner product of X and Y for the current and previous observations. NAs are propagated.
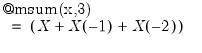
@msum(x,n)
n-period backward moving sum
NAs are not propagated.
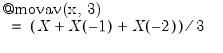
@mav(x,n)
n-period backward moving average
NAs are not propagated.
@mavc(x,n)
n-period centered moving average
centered moving average of X. Note if n is even then the window length is increased by one and the two endpoints are weighted by 0.5. NAs are not propagated.
@mstdev(x,n)
n-period backwards moving standard deviation
sample standard deviation (division by ) of X for the current and previous observations. NAs are not propagated.
@mstdevs(x,n)
n-period backwards moving sample standard deviation
sample standard deviation (division by ) of X for the current and previous observations. Note this is the same calculation as @movstdev. NAs are not propagated.
@mstdevp(x,n)
n-period backwards moving population standard deviation
population standard deviation (division by ) of X for the current and previous observations. NAs are not propagated.
@mvar(x,n)
n-period backwards moving variance
population variance (division by ) of X for the for the current and previous observations. NAs are not propagated.
@mvars(x,n)
n-period backwards moving sample variance
sample variance (division by ) of X for the current and previous observations. NAs are not propagated.
@mvarp(x,n)
n-period backwards moving population variance
population variance (division by ) of X for the current and previous observations. Note this is the same calculation as @movvar. NAs are not propagated.
@mcov(x,y,n)
n-period backwards moving covariance
population covariance (division by ) between X and Y of the current and previous observations. NAs are not propagated.
@mcovs(x,y,n)
n-period backwards moving sample covariance
sample covariance (division by ) between X and Y of the current and previous observations. NAs are not propagated.
@mcovp(x,y,n)
n-period backwards moving population covariance
population covariance (division by ) between X and Y of the current and previous observations. Note this is the same calculation as @movcov. NAs are not propagated.
@mcor(x,y,n)
n-period backwards moving correlation
correlation between X and Y of the current and previous observations. NAs are not propagated.
@mmax(x,n)
n-period backwards moving maximum
the maximum of X for the current and previous observations. NAs are not propagated.
@mmedian(x,n)
n-period backward moving median
the median of X for the current and previous observations. NAs are not propagated.
@mmin(x,n)
n-period backwards moving minimum
the minimum of X for the current and previous observations. NAs are not propagated.
@msumsq(x,n)
n-period backwards sum-of-squares
the sum-of-squares of X for the current and previous observations. NAs are not propagated.
@mskew(x,n)
n-period backwards skewness
the skewness of X for the current and previous observations. NAs are not propagated.
@mkurt(x,n)
n-period backwards kurtosis
the kurtosis of X for the current and previous observations. NAs are not propagated.
@mobs(x,n)
n-period backwards number of non-NA observations
the number of non-missing observations in X for the current and previous observations. Note this function always returns the same value as @movobs.
@mnas(x,n)
n-period backwards number of NA observations
the number of missing observations in X for the current and previous observations. Note this function always returns the same value as @movnas.
@minner(x,y,n)
n-period backwards inner product of X and Y
inner product of X and Y for the current and previous observations. NAs are not propagated.