Command Reference : Operator and Function Reference : Special Functions
  
Special Functions
EViews provides a number of special functions used in evaluating the properties of various statistical distributions or for returning special mathematical values such as Euler’s constant. For further details on special functions, see the extensive discussions in Temme (1996), Abramowitz and Stegun (1964), and Press, et al. (1992).
A few of the functions take an optional argument at the end of the options list ([,n]). Non-zero values tell EViews to compute the upper tail of the integral.
 
Function
Description
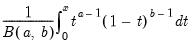
@beta(a,b)
beta integral (Euler integral of the second kind):
for .
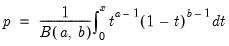
@betainc(x,a,b[,n])
incomplete beta integral:
for and .
@betaincder(x,a,b,s)
derivative of the incomplete beta integral:
evaluates the derivatives of the incomplete beta integral , where is an integer from 1 to 9 corresponding to the desired derivative:
@betaincinv(p,a,b)
inverse of the incomplete beta integral: returns an satisfying:
for and .
@betalog(a,b)
natural logarithm of the beta integral:
.
@binom(n,x)
binomial coefficient:
for and positive integers, .
@binomlog(n,x)
natural logarithm of the binomial coefficient:
@cloglog(x)
complementary log-log function:
See also @qextreme.
@digamma(x), @psi(x)
first derivative of the log gamma function:
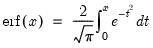
@erf(x)
error function:
for .
@erfc(x)
complementary error function:
.
for .
@gamma(x)
(complete) gamma function:
for .
@gammader(x)
first derivative of the gamma function:
Note: Euler’s constant, , may be evaluated as . See also @digamma and @trigamma.
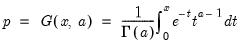
@gammainc(x,a[,n])
incomplete gamma function:
for and .
@gammaincder(x,a,n)
derivative of the incomplete gamma function:
Evaluates the derivatives of the incomplete gamma integral , where is an integer from 1 to 5 corresponding to the desired derivative:
@gammaincinv(p,a)
inverse of the incomplete gamma function: find the value of satisfying:
for and .
@gammalog(x)
logarithm of the gamma function: . For derivatives of this function see @digamma and @trigamma.
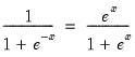
@logit(x)
logistic transform:
@psi(x)
see @digamma.
@trigamma(x)
second derivative of the log gamma function: