Standardize each column using the sample standard deviation.
Syntax: @colstdize(m)
m: matrix, vector
Return: matrix, vector
Returns the matrix containing the results from standardizing each column of m.
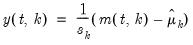
For each element of the output:
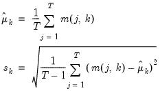
for

the mean and

the sample (d.f. corrected) standard deviation of column

where
 | (18.2) |
where

is the number of non-missing values in the column. If there are missing values in a column, they are ignored and the number of rows is adjusted.
Examples
matrix m1 = @mnrnd(50, 4)
matrix m1s = @colstdize(m1)
standardizes each column of M1 and places the results in M1D.
This operation is equivalent to
vector m1means = @cmeans(m1)
vector m1stds = @cstdev(m1)
matrix temp = m1 - @kronecker(@ones(m1.@rows), m1means.@t)
matrix m2s = @scale(temp, m1stds.@t)
where @cmeans and @cstdev is used to compute the column means and sample standard deviations of M1.
Cross-references