Reverse sweep operator.
There are two forms for @rsweep, one for the symmetric, and the other for then non-symmetric operator.
Syntax: @rsweep(s[, n])
s: sym
k: integer
k2: (optional) integer
Return: matrix
Returns the result of applying the symmetric sweep operator to symmetric matrix S at diagonal element k. If k2 is specified, sweeps on all diagonal elements between k and k2, inclusive.
This is merely an alias for @sweep(s, k[, k2]), since the symmetric sweep operator is its own reverse/inverse.
Syntax: @rsweep(m, r, c)
m: matrix, sym
r: integer
c: integer
Return: matrix
Returns the result of applying the reverse non-symmetric sweep operator to general matrix M at element (r, c).
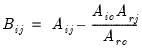
Let

be an application of the symmetric sweep operator. Then,

,

where

,

where

, and
where

and

.
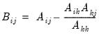
Let

be an application of the non-symmetric sweep operator. Then,

,

where

,

where

, and
where

and

.
Examples
Consider a swept matrix replicating the results of an OLS regression (see
@sweep function).
group g y x1 x2 x3
sym usscp = @inner(g)
sym s = @sweep(usscp, 2, 4)
Just as each application of the sweep operator effectively switched the role of a variable from dependent to regressor, each application of the reverse sweep operator switches the role of a variable from regressor back to dependent.
For example, we can remove X1 as a regressor for Y by applying @rsweep to the corresponding diagonal element.
s = @rsweep(s, 2, 2)
We can also verify these results against a standard equation object:
vector beta = @subextract(S, 3, 1, 4, 1) ' Regressor coefficients
scalar ssr = s(1,1) ' Sum of squared residuals
sym invXtX = -@subextract(s, 3, 3)
vector se = @sqrt(ssr * @getmaindiagonal(invXtX) / (@obssmpl - 2)) ' Coefficient standard errors
equation eq.ls(noconst) y x2 x3
Cross-references
Goodnight, James H. (1979). “A Tutorial on the SWEEP Operator,” The American Statistician, 33, 149–158.