Incomplete beta integral.
Syntax: @betainc(x, a, b)
x: number
a: number
b number
Return: number
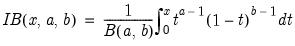
Compute the value of the incomplete beta integral for elements of x, a and b:
for

and

.
Examples
= @betainc(0.5,3,1)
returns 0.125 (same as 0.5 raised to the power of 3).
Cross-references