Inverse of the incomplete beta integral.
Syntax: @betaincinv(x, a, b, p)
p: number
a: number
b number
Return: number
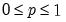
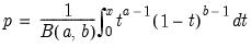
Returns the x satisfying the incomplete beta integral for elements of p, a and b:
for

and

.
Examples
= @betaincinv(0.5,2,2)
returns 0.5.
Cross-references