Command Reference : Function Reference : Function Reference: C
  
 
@cagr
Compound annual growth rate (in decimal fraction).
Syntax: @cagr(x, n)
x: series
n: integer
Return: series
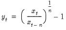
Returns the n-th root of the total return of x over n periods:
This function is panel aware.
Examples
If x is a series of quarterly profits, then
show @cagr(x, 1)
returns a linked series containing annualized profit growth rates in decimal fraction.
Cross-references
See also @pccagr.