Command Reference : Function Reference : Function Reference: P
  
 
@pccagr
Annualized growth rate (in percent).
Syntax: @pccagr(x, n)
x: series
n: integer
Return: series
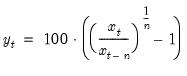
Returns the n-th root of the total annual return of x over n periods, minus 1, multiplied by 100:
This function is panel aware.
Examples
If x is a series of quarterly profits, then
show @pccagr(x, 1)
returns a linked series containing annualized profit growth rates in percent.
Cross-references
See also @cagr.