Bivariate normal cumulative probability.
Syntax: @cbvnorm(x, y, r)
x: number
y: number
p: number,

Return: number
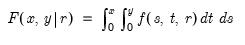
Computes the cumulative distribution function for a bivariate normal with 0 mean, unit variances, and correlation r:
where
Examples
= @cbvnorm(0, 0, 0.5)
returns 0.33333....
Cross-references