Bivariate normal probability density.
Syntax: @dbvnorm(x, y, r)
x: number
y: number
p: number,

Return: number
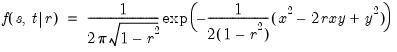
Computes the bivariate normal density with 0 mean, unit variances, and correlation r:
Examples
= @dbvnorm(0, 0, 0.5)
returns 0.18377....
Cross-references