Exponential cumulative distribution.
Syntax: @cexp(x, m[, u])
x: number
m: number,

u: (optional) number
Return: number
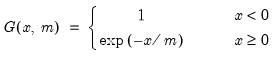
Computes the cumulative distribution function
If the optional argument u is non-zero, return the upper-tail value:
Examples
= @cexp(@log(2), 1)
returns 0.5.
Cross-references
See also
@dexp,
@qexp, and
@rexp.