Command Reference
:
Function Reference
:
Function Reference: Q
@qexp
Element Functions
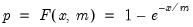
Exponential distribution quantile.
Syntax:
@qexp
(
p, m)
p
: number,
m
: number,
Return: number
Return the
satisfying
so that
Examples
= @qexp(0.5, 1)
returns 0.69314... (equal to log(2)).
Cross-references
See also
@cexp
,
@dexp
, and
@rexp
.