Command Reference
:
Function Reference
:
Function Reference: C
@cnorm
Element Functions
Standard normal cumulative distribution.
Syntax:
@cnorm
(
x[, u])
x
: number
u
: (optional) number
Return: number
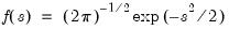
Computes the cumulative distribution integral
where
If the optional argument
u
is non-zero, return the upper-tail value:
.
Examples
= @cnorm(-1.96)
returns 0.02499....
Cross-references
See also
@logcnorm
,
@dnorm
,
@qnorm
, and
@rnorm
.