Command Reference
:
Function Reference
:
Function Reference: Q
@qnorm
Element Functions
Standard normal distribution quantile.
Syntax:
@qnorm
(
p)
p
: number
Return: number
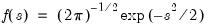
Return the
satisfying
where
Examples
= @qnorm(0.95)
returns 1.64485....
Cross-references
See also
@cnorm
,
@logcnorm
,
@dnorm
, and
@rnorm
.