Geometric mean.
Computes the geometric mean of the elements of
x for

Syntax: @gmean(x[, s])
x: series, vector, matrix
s: (optional) sample string or object when x is a series and assigning to a series
Return: number
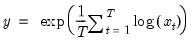
The geometric mean is calculated as
For series calculations, EViews will use the current or specified workfile sample.
Examples
If x is a series of length 3 with elements 1, 2, and 4, then
= @gmean(x)
returns 2 (= the cube root of 8).
Cross-references
See also
@mean,
@hmean, and
@trmean.