Command Reference : Function Reference : Function Reference: H
  
 
@hmean
Harmonic mean.
Computes the harmonic mean of the elements of x.
Syntax: @hmean(x[, s])
x: series, vector, matrix
s: (optional) sample string or object when x is a series and assigning to a series
Return: number
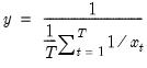
The harmonic mean is calculated as
For series calculations, EViews will use the current or specified workfile sample.
Examples
If x is a series of length 4 with elements 1, 2, 4, and 4, then
= @hmean(x)
returns 2 (= 4 divided by 2).
Cross-references
See also @mean, @gmean, and @trmean.