Function Reference: K
@kurtsby Kurtosis for each specified group.
Kronecker product.
Syntax: @kronecker(m1, m2)
m1: matrix, vector, sym
m2: matrix, vector, sym
Return: matrix
Calculates the Kronecker product of the two matrix objects, m1 and m2.
The resulting matrix has a number of rows equal to the product of the numbers of rows of the two matrix objects and a number of columns equal to the product of the numbers of columns of the two matrix objects.
The elements of the resulting matrix consist of submatrices consisting of an element of the first matrix object multiplied by the entire second matrix object.
Examples
matrix k4 = @kronecker(@fill(1, 2, 3), @ones(4, 4))
generates the

matrix formed by taking the Kronecker product of the 3 element vector and the

matrix of ones. The matrix is a vertical concatenation of a

matrix of ones, a

matrix of twos, and a

matrix of 3s.
Cross-references
See also
@identity and
@vec.
Kurtosis.
Computes the kurtosis of the elements of x.
Syntax: @kurt(x[, s])
x: numeric object
s: (optional) sample string or object when x is a series and assigning to a series
Return: number
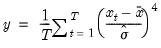
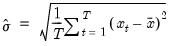
The kurtosis is calculated as
where

is the sample mean, and

is an estimator for the standard deviation that is based on the biased estimator for the variance
The kurtosis of the normal distribution is 3. If the kurtosis exceeds 3, the distribution is peaked (leptokurtic) relative to the normal; if the kurtosis is less than 3, the distribution is flat (platykurtic) relative to the normal.
For series calculations, EViews will use the current or specified workfile sample.
Examples
If x = @nrnd, then
= @kurt(x)
returns a value close to 3 in large samples (since the normal distribution has a kurtosis of 3).
Cross-references
See also
@mean,
@var, and
@skew.
Kurtoses for each specified group.
Syntax: @kurtsby(x, y[y1, y2, ... yn, s])
x: series
y...yn: series, alpha
s: (optional) sample string or object
Return: series
Returns the kurtoses of x for each group defined by distinct values of the y.
EViews will use the current or specified workfile sample.
Examples
show @kurtsby(x, g1, g2)
produces a linked series of the by-group sample kurtoses of the series x, where members of the same group have identical values for both g1 and g2.
Cross-references