Centered moving averages (ignore NAs).
n-period centered moving averages, ignoring NAs.
Syntax: @mavc(x, n)
x: series
n integer, series
Return: series
For each observation

and integer

,
• If

is odd, compute the average of the current, and

previous and subsequent observations of a series,
where

. If missing values are encountered, the observation is discarded, and the divisor for the mean is adjusted to compensate.
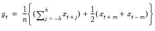
• If

is even, compute the

period centered moving sum, weighting the endpoints by 1/2, then divide by

:
where

and

. If missing values are encountered, the observation is discarded, and the divisor for the mean is adjusted to compensate.
If
n is not an integer, the integer floor

will be used.
Examples
show @mavc(x, 12)
produces a linked series of the centered moving average of the series x where NAs are ignored.
Cross-references
See also
@mav for a trailing moving average.
For the NA-propagating variant of this function, see
@movavc.