Centered moving averages (propagate NAs).
n-period centered moving averages, propagating NAs.
Syntax: @movavc(x, n)
x: series
n integer, series
Return: series
For each observation

and integer

,
• If

is odd, compute the average of the current, and

previous and subsequent observations of a series, propagating missing values (NAs)
where

.
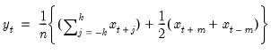
• If

is even, compute the

period centered moving sum, weighting the endpoints by 1/2 and propagating missing values (NAs), then divide by

:
where

and

.
If
n is not an integer, the integer floor

will be used.
Examples
show @movavc(x, 12)
produces a linked series of the centered moving average of the series x where NAs are propagated.
Cross-references
See also
@movav for trailing moving averages.
For the NA-excluding variant of this function, see
@mavc.