@rmedian |
corresponding to a row in the group of
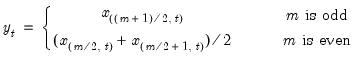
series, compute the median of the
values
for the observation.
is odd, the median is the middle ordered-observation and when
is even, the median is the average of the two middle ordered-observations. The median may be written as
represent the data for observation
ordered from low to high.