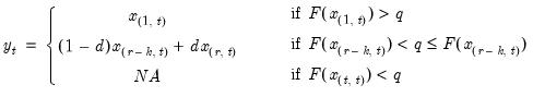
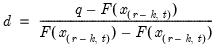
@rquantile |
corresponding to a row in the group of
series, compute the q-quantile of the
values
for the observation using the Rankit-Cleveland quantile definition, for
.
-quantile, first find
, the smallest rank such that,
represent data for the
series ordered from low to high, and
is the Rankit-Cleveland definition of the empirical distribution function:
. For purposes of computing
, tied ranks are assumed to take the last tied value.

the smallest integer where
. In the leading case where there are no tied
values,
.