Command Reference
:
Function Reference
:
Function Reference: R
@rstdev
By-Row Statistics
Row sample
(d.f. corrected) standard deviations.
Square roots of the Pearson product moment sample variances for each row of the group, with d.f. correction.
Syntax:
@rstdev
(
x
)
x
: group
Return: series
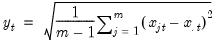
For each observation
corresponding to a row in the group of
series, compute the sample standard deviation,
where
is the mean of the
values
for the observation.
Examples
show @rstdev(g
returns a linked series of sample standard deviations in the rows of group
g
.
Cross-references
See also
@rstdevp
and
@rstdevs
.