Command Reference
:
Function Reference
:
Function Reference: R
@rstdevs
By-Row Statistics
Row sampl
e (d.f. corrected) standard deviations.
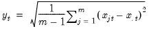
Square roots of Pearson product moment sample variances for each row of the group, with d.f. correction.
Syntax:
@rstdevs
(
x)
x
: group
Return: series
For each observation
corresponding to a row in the group of
series, compute the sample standard deviation,
where
is the mean of the
values
for the observation.
Equivalent to @rstdev.
Examples
show @rstdevs(g
returns a linked series of sample standard deviations in the rows of group
g
.
Cross-references
See also
@rstdev
and
@rstdevp
.