Command Reference
:
Function Reference
:
Function Reference: R
@rvar
By-Row Statistics
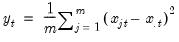
Row population (non d.f. corrected) variances.
Pearson product moment population variances for each row of the group, with d.f. correction.
Syntax:
@rvars
(
x
)
x
: group
Return: series
For each observation
corresponding to a row in the group of
series, compute the population variance,
where
is the mean of the
values
for the observation.
Examples
show @rvar(g
returns a linked series of population variances in the rows of group
g
.
Cross-references
See also
@rmean
.
See also
@rvarp
and
@rvars
.