Command Reference
:
Function Reference
:
Function Reference: R
@rvars
By-Row Statistics
Row sample
(d.f. corrected) standard deviations.
Pearson product moment population variances for each row of the group, with d.f. correction.
Syntax:
@rvars
(
x
)
x
: group
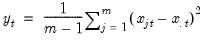
Return: series
For each observation
corresponding to a row in the group of
series, compute the sample variance,
where
is the mean of the
values
for the observation.
Examples
show @rvars(g
returns a linked series of sample variances in the rows of group
g
.
Cross-references
See also
@rvar
and
@rvarp
.