Command Reference : Function Reference : Function Reference: T
  
 
@theil
 
Theil inequality coefficient (difference) between series.
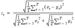
Computes the Theil inequality coefficient of x and y.
Syntax: @theil(x, y, [s])
x: series
y: series
s: (optional) sample string or object
Return: number
The Theil inequality coefficient is given by the root mean square error divided by the sum of the square roots of the squared x and squared y means).
Examples
Let yf denote in-sample forecasts for the series y. Then
= @theil(yf, y)
returns the Theil inequality coefficient between the series y and its forecast.
Cross-references
See also @rmse.