Command Reference : Function Reference : Function Reference: R
  
 
@rmse
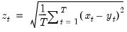
Root of the mean of square error (difference) between series.
Computes the square root of the mean of the squared difference between x and y.
Syntax: @rmse(x, y, [s])
x: series
y: series
s: (optional) sample string or object
Return: number
Examples
Let yf denote in-sample forecasts for the series y. Then
= @rmse(yf, y)
returns the RMSE between the series y and its forecast.
Cross-references
See also @mae, @mape, @mse, @smape, and @theil.