Command Reference : Function Reference : Function Reference: M
  
 
@mape
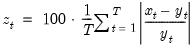
Mean absolute percentage error (difference) between series.
Computes the mean of the absolute percentage difference between x and y.
Syntax: @mape(x, y, [s])
x: series
y: series
s: (optional) sample string or object
Return: number
EViews will use the current or specified workfile sample.
Examples
Let yf denote in-sample forecasts for the series y. Then
= @mape(yf, y)
returns the MAPE between the series y and its forecast.
Cross-references
See also @mae, @mse, @rmse, @smape, and @theil.