Command Reference
:
Matrix Language Reference
@cor
Matrix Statistics Functions
Pearson product moment correlation
.
Syntax:
@cor
(
x)
x
: matrix
Return: sym
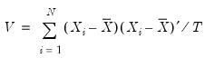
Compute the correlation between columns of a matrix.
where
is the column vector corresponding to the
i
-th row of the matrix,
are the corresponding means, and
is the number of rows of the matrix.
Examples
matrix x = @mnrnd(300, 5)
sym cov = @cov(@inner(x))
computes the
non d.f. corrected covariance matrix of the randomly generated X.
Cross-references
See also
@cov
and
@covs
.