Command Reference
:
Matrix Language Reference
@covs
Matrix Statistics Functions
Pearson (sample) product moment covariance (d.f. adjusted).
Syntax:
@covs
(
x)
x
: matrix
Return: sym
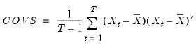
Compute the covariance between columns of a matrix, with d.f. correction.
For the multiple variables in group and matrix settings,
where
is the column vector corresponding to the
i
-th row of the matrix,
are the corresponding means, and
is the number of rows of the matrix.
Examples
matrix x = @mnrnd(300, 5)
sym cov = @covs(@inner(x))
computes the
d.f. corrected covariance matrix of the randomly generated X.
Cross-references
See also
@cov
and
@cor
.