variables
, observed at low frequency and
variables
observed at the high frequency. Let
represent the i-th low frequency variable observed during low-frequency period 
represent the i-th high frequency variable observed in the t-th high-frequency period during low-frequency period 
and
variables into the matrices
and
, respectively, and for brevity ignoring the intercepts and exogenous variables, we may write the VAR as:![]() | (49.1) |
is
,
is
, and
is
, for all
,
, and
is
.
, the stacked matrix of coefficients.
and the residual covariance matrix,
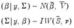
(
“Technical Background”).![]() | (49.2) |
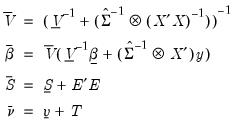
and
of:![]() | (49.3) |
(49.4) |
![]() | (49.5) |
is constructed like the Litterman prior in standard Bayesian VARs.
is assumed to be all zero, other than the own first lag terms. However the Ghysels prior differs slightly by allowing a different hyper-parameter for the own lag term depending on whether a variable is high or low frequency. Another crucial difference is that the variables are assumed to follow an AR(1) process in the high-frequency, so that when estimating in low-frequency space, the parameter is exponential.
is similar to a Litterman prior, but with subtle differences to allow for the cross-frequency variances. Element | Mean | Variance | Dimension |
![]() | ![]() | ![]() | , ![]() |
![]() | ![]() | ![]() | ![]() |
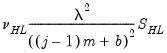
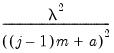
![]() | 0 | ![]() | , , ![]() |
![]() | 0 | ![]() | , ![]() |
![]() | 0 | ![]() | , , ![]() |
![]() | 0 | ![]() | , ![]() |
![]() | 0 | ![]() | , ![]() |
,
,
and
are hyper-parameters, and
is a
matrix with the (i,j)-th element equal to
,
,
where the
are taken from a univariate AR(1) estimation.
.
is formed by taking a scaled identity matrix or by scaling an initial estimate of the variance taken from a classical least squares U-MIDAS estimation:![]() | (49.6) |
or
.