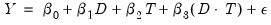
, on which some of the individuals in our study are given the treatment. The remainder of the individuals never receive treatment. We denote the treated individuals as belonging to group T, and those not treated as belonging to group NT. Along with data on whether an individual is treated, we also have time series data on an outcome variable, Y, with periods both before and after the treatment date, for all individuals.![]() | (56.1) |

![]() | (56.2) |
, and T is a dummy variable equal to 1 if the observation is in the treated group. For notational simplicity, we ignore additional exogenous regressors in
Equation (56.2), though note that their inclusion does not change the behavior of the estimator.
, which measures the marginal effect of being in the treatment group after
. ![]() | (56.3) |
identifies the treatment (
) and the non-treatment (
) groups, and
takes a value of 1 whenever a treatment group observation is actually treated. In this specification, the ATET is equal to the value of
.
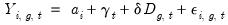
in
Equation (56.3) is numerically identical to the result obtained from the panel two-way fixed effects (TWFE) regression:![]() | (56.4) |
is constant for an individual
. In the latter specification, the group fixed effects have been replaced by individual cross-section effects.
to be unbiased for the ATET, DiD requires an additional parallel trends assumption. The parallel trends assumption requires that in the counter-factual where individuals in the treated group are not treated, the difference between the treatment group and the control group is constant through time. Intuitively, when comparing a treatment group to a never-treated or always-treated control group, unbiased estimation requires that the change in outcomes for the control group before and after the treatment date is a good measure of the (unobserved) untreated change in the treatment group.
, with all individuals who will be treated, receiving treatment on the same date.
(TE), and some are treated at a later date
(TL).![]() | (56.5) |
now indexes the multiple treatment date groups. Note that the presence of multiple treatment dates does not affect the form of the TWFE estimator.