observations and
potential thresholds (producing
regimes). (While we will use
to index the
observations, there is nothing in the structure of the model that requires time series data.)
we have the linear regression specification![]() | (35.1) |
variables are those whose parameters do not vary across regimes, while the
variables have coefficients that are regime-specific.
and strictly increasing threshold values
such that we are in regime
if and only if:
and
. Thus, we are in regime
if the value of the threshold variable is at least as large as the j-th threshold value, but not as large as the
-th threshold. (Note that we follow EViews convention by defining the threshold values as the first values of each regime.)![]() | (35.2) |
which takes the value 1 if the expression is true and 0 otherwise and defining
, we may combine the
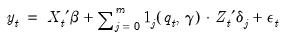
individual regime specifications into a single equation:![]() | (35.3) |
and the regressors
and
will determine the type of TR specification. If
is the
-th lagged value of
,
Equation (35.3) is a self-exciting (SE) model with delay
; if it’s not a lagged dependent, it's a conventional TR model. If the regressors
and
contain only a constant and lags of the dependent variable, we have an autoregressive (AR) model. Thus, a SETAR model is a threshold regression that combines an autoregressive specification with a lagged dependent threshold variable.
and
, and usually, the threshold values
. We may also use model selection to identify the threshold variable
.![]() | (35.4) |
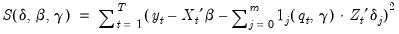
with respect to the parameters.
, say
, minimization of the concentrated objective
is a simple least squares problem, we can view estimation as finding the set of thresholds and corresponding OLS coefficient estimates that minimize the sum-of-squares across all possible sets of
-threshold partitions.