Binomial distribution cumulative probability.
Syntax: @cbinom(x, n, p)
x: number
n: integer,

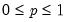
p: number,

Return: number
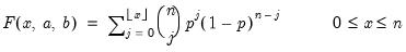
Computes the cumulative probability function
and
where

is the integer floor of

.
Examples
= @cbinom(1, 5, 0.5)
returns 0.1875.
Cross-references