Binomial distribution random draw.
Syntax: @rbinom(n, p)
n: integer,

p: number,

Return: integer
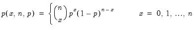
Draw a random integer value from the binomial distribution with probability function,
and 0 elsewhere.
Examples
= @rbinom(5, 0.5)
returns a random draw from the Binom(5, 0.5) distribution.
Cross-references